近日,我院宁德志教授团队在布拉格共振研究方面取得重要进展,研究成果“Nonlinear Bragg scattering of surface waves over a two-dimensional periodic structure”发表在流体力学国际顶级期刊《Journal of Fluid Mechanics》。
全球各地近海地区普遍分布着具有周期性的水下结构,如周期性沙坝等。Davies(1982)在研究波浪和周期性沙坝相互作用时发现,当入射波浪的波长为沙坝波长的两倍时,会诱发波浪共振现象。此时,每个组成沙坝处的微小反射波在沙坝迎浪侧发生相长干涉,从而叠加形成巨大的波浪反射(即使沙坝自身幅度/高度不大)。该现象类似于固体物理中的布拉格反射现象,故被称作水波中的布拉格共振。后来,Liu & Yue(1998)在考虑了周期性结构和自由表面水波的非线性后,拓展了布拉格共振发生的条件,并理论预测了多型布拉格共振现象的存在,包括广泛研究的第二和第三类布拉格共振现象;前者地形波非线性占主导,后者表面波非线性占主导。Davies发现的由反射波线性叠加而诱发的共振现象则通常被称为第一类布拉格共振。布拉格共振现象及其特性对海岸泥沙运动和沙质海岸的保护研究均具有重要的价值,且是新型防波堤结构形式“布拉格防波堤”的原理基础。鉴于其重要性,近些年其成为了一个研究热点。
宁德志教授团队利用自主研发的基于高阶边界元方法的完全非线性数值波浪水槽对自由表面波和周期性结构的非线性相互作用开展了深入的研究。该工作首次证实了第四类次谐波布拉格共振(诱发共振反射波,且地形波和表面波非线性均同等重要)和二阶透射波诱发的第一类布拉格共振现象的存在。同时,该工作揭示了水下周期性结构主要结构参数与自由表面波非线性对第三类布拉格共振特性的影响规律,并首次提出当地形高度增大到一定阈值后,共振反射/透射波幅值与地形高度存在平方关系(而不是普遍认为的线性关系)。此外,文章还揭示了布拉格共振会诱发“拍”和“寄生拍”现象,从而可能使实际海域中产生局部较大的自由表面波运动。该研究对于进一步揭示近岸局部波浪场的特性,以及对“布拉格防波堤”的设计具有重要理论指导意义。

图1 多布拉格共振体系;不仅观测到广泛研究的第一类和第三类布拉格共振现象,同时首次证实了第四类次谐波布拉格共振和二阶透射波诱发的第一类布拉格共振现象的存在。

图2 布拉格共振透射波幅值与地形及表面波的非线性依赖关系。如横坐标所示,当地形高度增大至0.48时,共振透射波幅值与地形高度的线性依赖关系不再适用,而是存在平方关系。

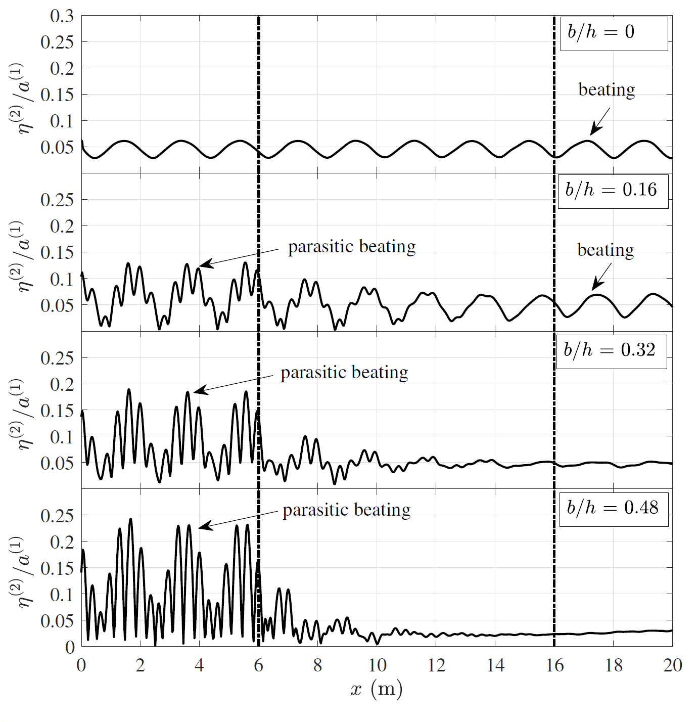
图3 第一类布拉格共振现象发生时,二阶自由波幅值沿水槽中线的空间分布;从上到下地形高度逐渐增大。点划线所指为周期地形存在位置。由于不同相位的二阶锁定波和自由波的叠加,在周期地形后诱发了波面的空间振荡现象“拍”。特别的是,由于第一类布拉格共振的发生,二阶反射锁定波/自由波在堤前的幅值增大,与二阶入射锁定/自由波的幅值相当。四个不同相位的二阶波浪在堤前叠加形成‘寄生拍’的特殊水动力现象,使得自由水面幅值大幅增大。
该论文的第一作者为宁德志教授,通讯作者为陈丽芬教授,第二作者为硕士生张时斌,合作作者还包括大连理工大学海岸和近海工程国家重点实验室的滕斌教授和浙江海洋大学船舶与海运学院的刘焕文教授。该研究工作得到了兴辽英才计划(No. XLYC2002033)、辽宁省“百千万人才工程”(No. 2020921007)、中央高校基本科研业务费(No. DUT21LAB116)和国家自然科学基金(No. 52001053)的资助。《Journal of Fluid mechanics》是剑桥大学出版社主办的流体力学领域的国际权威杂志,2021年影响因子为4.245。
本论文链接:https://www.doi.org/10.1017/jfm.2022.609。